您好,欢迎进入电子游艺网站下载安装 !
资讯
新闻
点评
独家
政策
展会
种猪
技术
猪病
饲养
繁育
建设
电子游艺网站
致富
行情
猪价
分析
电子游艺网站官网入口
期货
仔猪
电子游艺平台
养猪数据中心
视听
视频
图集
专题
热点
直播
自媒体
更多
饲料
兽药
设备
会讯
供求
下载
WAP版
养猪宝APP
融媒矩阵
企业邮箱
关注微信
扫一扫
已到第一张图片了。
重新播放
下一图集
上一图集
返回图库首页
已到最后一张图片了。
重新播放
下一图集
上一图集
返回图库首页
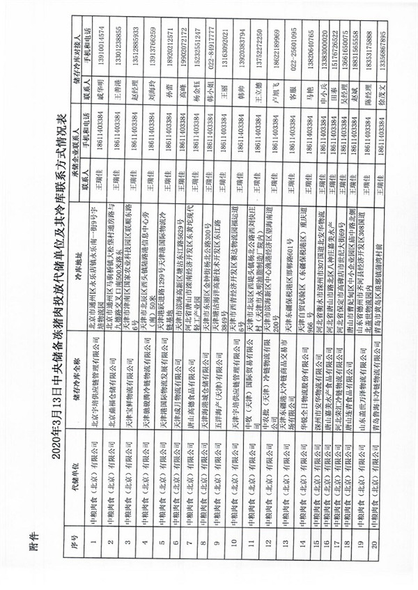
关于做好2020年3月13日中央储备冻电子游艺平台 投放出库提货有关事项的通知
来源:华储网
2020-03-13 11:08:00
支持
键翻阅图片
|
我有话说
|
列表查看
高清查看
1
/
15
疫情挡不住永修县与正邦共谋发展的步伐:永修县委书记许斌考察正邦,与正邦董事长林印孙座谈并见证签约
孙勇跃|楼房模式电子游艺网站 设计
1
(1/15)
2
(1/15)
3
(1/15)
4
(1/15)
5
(1/15)
6
(1/15)
7
(1/15)
8
(1/15)
9
(1/15)
10
(1/15)
11
(1/15)
12
(1/15)
13
(1/15)
14
(1/15)
15
(1/15)
网站导航
省市农业网站
北京农业农村局
天津农业农村委
河北农业农村厅
山西农业农村厅
内蒙古农牧厅
辽宁农业农村厅
吉林农业农村厅
黑龙江农业农村厅
上海农业农村委
江苏农业农村厅
浙江农业农村厅
安徽农业农村厅
福建农业农村厅
江西农业农村厅
山东农业农村厅
河南农业农村厅
湖北农业农村厅
湖南农业农村厅
新疆兵团农业局
新疆农业农村厅
宁夏农业农村厅
青海农业农村厅
甘肃农业农村厅
陕西农业农村厅
西藏农业农村厅
云南农业农村厅
广东农业农村厅
广西农业农村厅
海南农业农村厅
重庆农业农村委
四川农业农村厅
贵州农业农村厅
省市行业协会
中国畜牧兽医学会
陕西省畜牧兽医学会
广东省畜牧兽医学会
山东省畜牧兽医学会
湖北省畜牧兽医学会
重庆市畜牧兽医学会
江西省畜牧兽医学会
福建省畜牧兽医学会
天津市畜牧兽医学会
西藏自治区畜牧兽医学会
浙江省畜牧兽医学会
江苏省畜牧兽医学会
河北省畜牧兽医学会
河南省畜牧兽医学会
安徽畜牧兽医学会
山西省畜牧兽医学会
甘肃省畜牧兽医学会
内蒙古畜牧学会
青海省畜牧兽医学会
宁夏畜牧兽医学会
吉林省畜牧兽医学会
辽宁省畜牧兽医学会
北京畜牧兽医学会
黑龙江省畜牧兽医学会
四川省畜牧兽医学会
广西畜牧兽医学会
贵州省畜牧兽医学会
云南省畜牧兽医学会
其它涉农网站
中国企业黄页网
西北苗木网
养猪技术
药品资讯网
农机通网
土地流转
中国蔬菜网
今日猪价
养猪行情
三农致富网
生猪价格
农产品交易网
中国饲料行业信息网
养鸡网
搜猪网
养殖巴巴网
中国水产网
养猪巴巴网
中国农业网
土地流转
畜牧网
广东爱猪网
世纪农药网
豆粕价格
中国蔬菜网
中国水产养殖网
食品招商网
猪友之家
商机网
中国食品机械设备网
鸡病专业网
养鸡网
农业机械
中国农业网
35941兽药网
天下粮仓粮油网
食品招商
农机1688网
中国好鲜生
兽药网
兽医在线
中国猪业
猪友导航
吾谷网
中国惠农网
畜牧人
畜牧软件网
中国三农网
猪病网
猪易购
友链合作
(QQ:576488929)
服务热线:400-808-6188
Copyright©2010-2022 https://www.vv55hh.com
map